for pdf click here
Wednesday, 16 November 2016
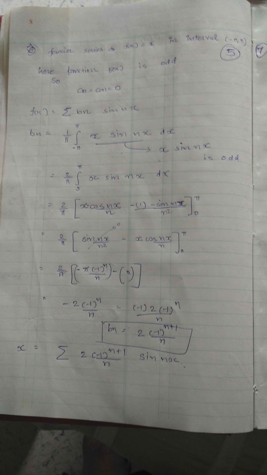
Maths Mid Paper
About Harsh Ranpariya
I am Harsh Ranpariya, student of Information Technology at GEC Modasa. I have created this blog with a purpose to help stuednts of Gec Modasa.
maths
Subscribe to:
Post Comments (Atom)










No comments:
Post a Comment